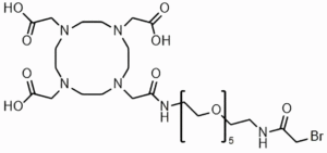
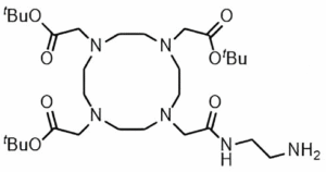
Chelating Agent
Chelating agents are a class of molecules capable of forming stable ring structures with metal ions via multiple coordinating atoms (such as nitrogen, oxygen, or sulphur). In biomedicine, they enable critical applications through precise control of metal ions. Among these, DOTA and its derivatives stand as representative macrocyclic multidentate chelating agents, exhibiting exceptional thermodynamic stability and broad metal ion adaptability. Such chelating agents can stably deliver diagnostic or therapeutic metal ions (e.g., gadolinium, lutetium) to target sites, finding extensive application in magnetic resonance imaging contrast agents, targeted radionuclide therapy, and the development of diagnostic-therapeutic dual-function reagents. Their structural modifiability provides an ideal platform for precisely regulating biodistribution and pharmacokinetic properties.
PurePEG offers a variety of structurally modified DOTA chelators (e.g., A1B3, A2B2, A4) for your selection, along with multiple DOTAGA reagents that efficiently chelate therapeutic radionuclides such as lutetium-177 and gadolinium-68.












